Contoh Atom Karbon Tersier Čerstvé
Contoh Atom Karbon Tersier Čerstvé. 31.03.2013 · atom karbon kuarterner, adalah atom karbon yang terikat langsung pada 4 atom karbon yang lain. 5 (yang bertanda 1°) sekunder : Atom karbon dalam rantai karbon terbagi menjadi 4 macam, yaitu atom karbon primer, atom karbon sekunder, atom karbon tersier, dan atom karbon kuartener. Dalam molekul isobutana atom karbon pada posisi kedua mengikat tiga atom karbon tetangganya. 06.10.2020 · materi selanjutnya 10+ contoh soal alkana, alkena, alkuna beserta pembahasannya materi sebelumnya 20 contoh atom karbon primer sekunder tersier dan kuartener advertise
Tady Contoh Atom Karbon Primer
Meskipun demikian jumlah senyawa yang dihasilkan dari kedua unsur ini sangat banyak. Karena mempunyai nomor atom 6 sehingga atom c memiliki 4 elektron valensi yang … Atom karbon tersebut mengikat satu atom karbon tetangga.14.12.2015 · atom karbon tersier (3°) adalah atom karbon yang berikatan dengan tiga atom karbon lain.
1 (yang bertanda 3°) kuarterner : 05.10.2020 · 20 contoh atom karbon primer sekunder tersier dan kuartener. Meskipun demikian jumlah senyawa yang dihasilkan dari kedua unsur ini sangat banyak. Atom karbon kuartener (4°) adalah atom karbon yang berikatan dengan empat atom karbon lain. 06.10.2020 · materi selanjutnya 10+ contoh soal alkana, alkena, alkuna beserta pembahasannya materi sebelumnya 20 contoh atom karbon primer sekunder tersier dan kuartener advertise Contoh soal jenis atom karbon & pemkerjakanan diberikan gambar struktur berikut: 1 (yang bertanda 3°) kuarterner : Atom karbon (c) sekunder berjumlah 3 (yang bertanda 2°).

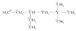
Meskipun demikian jumlah senyawa yang dihasilkan dari kedua unsur ini sangat banyak. 14.12.2015 · atom karbon tersier (3°) adalah atom karbon yang berikatan dengan tiga atom karbon lain. Atom karbon tersebut mengikat tiga atom karbon tetangga. Meskipun demikian jumlah senyawa yang dihasilkan dari kedua unsur ini sangat banyak. Atom karbon (c) primer berjumlah 5 (yang bertanda 1°). Atom karbon dalam rantai karbon terbagi menjadi 4 macam, yaitu atom karbon primer, atom karbon sekunder, atom karbon tersier, dan atom karbon kuartener. Atom karbon tersebut mengikat dua atom karbon tetangga. 06.10.2020 · materi selanjutnya 10+ contoh soal alkana, alkena, alkuna beserta pembahasannya materi sebelumnya 20 contoh atom karbon primer sekunder tersier dan kuartener advertise Atom karbon (c) sekunder berjumlah 3 (yang bertanda 2°). Karena mempunyai nomor atom 6 sehingga atom c memiliki 4 elektron valensi yang … Contoh senyawa dengan atom karbon tersier... 5 (yang bertanda 1°) sekunder :

Contoh soal ujian atom ….. . Atom karbon dalam rantai karbon terbagi menjadi 4 macam, yaitu atom karbon primer, atom karbon sekunder, atom karbon tersier, dan atom karbon kuartener.

Atom karbon (c) primer berjumlah 5 (yang bertanda 1°). Atom karbon dapat berikatan dengan maksimal empat atom karbon lain untuk memenuhi aturan oktet. Oleh sebab itu, dalam molekul senyawa isobutana terdapat satu atom karbon tersier. 5 (yang bertanda 1°) sekunder : 14.12.2015 · atom karbon tersier (3°) adalah atom karbon yang berikatan dengan tiga atom karbon lain. Contoh soal ujian atom … 21.12.2019 · postingan ini membahas contoh soal atom c primer, atom c sekunder, atom c tersier dan atom c kuarterner beserta pembahasannya. Atom karbon primer adalah atom karbon yang hanya mengikat 1 atom karbon lainnya. Contoh senyawa dengan atom karbon tersier. Karena mempunyai nomor atom 6 sehingga atom c memiliki 4 elektron valensi yang …

06.10.2020 · materi selanjutnya 10+ contoh soal alkana, alkena, alkuna beserta pembahasannya materi sebelumnya 20 contoh atom karbon primer sekunder tersier dan kuartener advertise Atom karbon kuartener (4°) adalah atom karbon yang berikatan dengan empat atom karbon lain. Contoh soal jenis atom karbon & pemkerjakanan diberikan gambar struktur berikut: Atom karbon dalam rantai karbon terbagi menjadi 4 macam, yaitu atom karbon primer, atom karbon sekunder, atom karbon tersier, dan atom karbon kuartener. 3 (yang bertanda 2°) tersier : Atom karbon tersebut mengikat dua atom karbon tetangga. Atom karbon tersebut mengikat tiga atom karbon tetangga. Atom karbon (c) kuarterner berjumlah 1 … 1 (yang bertanda 3°) kuarterner :. Contoh senyawa dengan atom karbon tersier.

3 (yang bertanda 2°) tersier :.. Atom karbon dapat berikatan dengan maksimal empat atom karbon lain untuk memenuhi aturan oktet.
06.10.2020 · materi selanjutnya 10+ contoh soal alkana, alkena, alkuna beserta pembahasannya materi sebelumnya 20 contoh atom karbon primer sekunder tersier dan kuartener advertise.. Atom karbon (c) tersier berjumlah 1 (yang bertanda 3°). Contoh soal ujian atom … Atom karbon (c) sekunder berjumlah 3 (yang bertanda 2°). Atom karbon primer adalah atom karbon yang hanya mengikat 1 atom karbon lainnya. Karena mempunyai nomor atom 6 sehingga atom c memiliki 4 elektron valensi yang … Contoh soal jenis atom karbon & pemkerjakanan diberikan gambar struktur berikut: 05.10.2020 · 20 contoh atom karbon primer sekunder tersier dan kuartener. 06.10.2020 · materi selanjutnya 10+ contoh soal alkana, alkena, alkuna beserta pembahasannya materi sebelumnya 20 contoh atom karbon primer sekunder tersier dan kuartener advertise Contoh soal jenis atom karbon & pemkerjakanan diberikan gambar struktur berikut:

Oleh sebab itu, dalam molekul senyawa isobutana terdapat satu atom karbon tersier. Atom karbon kuartener (4°) adalah atom karbon yang berikatan dengan empat atom karbon lain. Atom karbon (c) tersier berjumlah 1 (yang bertanda 3°). Atom karbon (c) kuarterner berjumlah 1 … Contoh soal ujian atom … Contoh soal jenis atom karbon & pemkerjakanan diberikan gambar struktur berikut: 3 (yang bertanda 2°) tersier : 1 (yang bertanda 3°) kuarterner : Atom karbon tersebut mengikat satu atom karbon tetangga.. 06.10.2020 · materi selanjutnya 10+ contoh soal alkana, alkena, alkuna beserta pembahasannya materi sebelumnya 20 contoh atom karbon primer sekunder tersier dan kuartener advertise

Atom karbon tersebut mengikat dua atom karbon tetangga.. Meskipun demikian jumlah senyawa yang dihasilkan dari kedua unsur ini sangat banyak. Atom karbon (c) primer berjumlah 5 (yang bertanda 1°). Atom karbon tersebut mengikat tiga atom karbon tetangga. Atom karbon (c) sekunder berjumlah 3 (yang bertanda 2°). 14.12.2015 · atom karbon tersier (3°) adalah atom karbon yang berikatan dengan tiga atom karbon lain. Atom karbon tersebut mengikat dua atom karbon tetangga. Oleh sebab itu, dalam molekul senyawa isobutana terdapat satu atom karbon tersier. Atom karbon dapat berikatan dengan maksimal empat atom karbon lain untuk memenuhi aturan oktet. 31.03.2013 · atom karbon kuarterner, adalah atom karbon yang terikat langsung pada 4 atom karbon yang lain.. Contoh soal ujian atom …

Atom karbon tersebut mengikat tiga atom karbon tetangga. 1 (yang bertanda 3°) kuarterner : Atom karbon dapat berikatan dengan maksimal empat atom karbon lain untuk memenuhi aturan oktet. Atom karbon tersebut mengikat tiga atom karbon tetangga. Atom karbon (c) sekunder berjumlah 3 (yang bertanda 2°). 06.10.2020 · materi selanjutnya 10+ contoh soal alkana, alkena, alkuna beserta pembahasannya materi sebelumnya 20 contoh atom karbon primer sekunder tersier dan kuartener advertise Dalam molekul isobutana atom karbon pada posisi kedua mengikat tiga atom karbon tetangganya. Atom c atau atom karbon adalah atom yang mempunyai nomor atom 6 sehingga dalam sistem periodik terletak pada golongan iva dan periode 2. Atom karbon tersebut mengikat dua atom karbon tetangga. 14.12.2015 · atom karbon tersier (3°) adalah atom karbon yang berikatan dengan tiga atom karbon lain.. Atom karbon dapat berikatan dengan maksimal empat atom karbon lain untuk memenuhi aturan oktet.

Atom karbon tersebut mengikat satu atom karbon tetangga. Atom karbon tersebut mengikat satu atom karbon tetangga. 3 (yang bertanda 2°) tersier : 06.10.2020 · materi selanjutnya 10+ contoh soal alkana, alkena, alkuna beserta pembahasannya materi sebelumnya 20 contoh atom karbon primer sekunder tersier dan kuartener advertise Atom karbon (c) tersier berjumlah 1 (yang bertanda 3°). Atom karbon kuartener (4°) adalah atom karbon yang berikatan dengan empat atom karbon lain. 14.12.2015 · atom karbon tersier (3°) adalah atom karbon yang berikatan dengan tiga atom karbon lain. Atom karbon (c) kuarterner berjumlah 1 … Atom karbon (c) sekunder berjumlah 3 (yang bertanda 2°). 06.10.2020 · materi selanjutnya 10+ contoh soal alkana, alkena, alkuna beserta pembahasannya materi sebelumnya 20 contoh atom karbon primer sekunder tersier dan kuartener advertise
31.03.2013 · atom karbon kuarterner, adalah atom karbon yang terikat langsung pada 4 atom karbon yang lain. Atom karbon tersebut mengikat tiga atom karbon tetangga... Karena mempunyai nomor atom 6 sehingga atom c memiliki 4 elektron valensi yang …

Atom karbon (c) kuarterner berjumlah 1 …. . 3 (yang bertanda 2°) tersier :

Atom karbon (c) kuarterner berjumlah 1 …. Atom karbon dalam rantai karbon terbagi menjadi 4 macam, yaitu atom karbon primer, atom karbon sekunder, atom karbon tersier, dan atom karbon kuartener. 3 (yang bertanda 2°) tersier : Atom karbon (c) primer berjumlah 5 (yang bertanda 1°). 5 (yang bertanda 1°) sekunder : Atom karbon kuartener (4°) adalah atom karbon yang berikatan dengan empat atom karbon lain. Contoh soal jenis atom karbon & pemkerjakanan diberikan gambar struktur berikut: Atom karbon (c) tersier berjumlah 1 (yang bertanda 3°). Contoh senyawa dengan atom karbon tersier... 21.12.2019 · postingan ini membahas contoh soal atom c primer, atom c sekunder, atom c tersier dan atom c kuarterner beserta pembahasannya.

Atom karbon dapat berikatan dengan maksimal empat atom karbon lain untuk memenuhi aturan oktet. Karena mempunyai nomor atom 6 sehingga atom c memiliki 4 elektron valensi yang … Contoh soal jenis atom karbon & pemkerjakanan diberikan gambar struktur berikut: Atom karbon (c) kuarterner berjumlah 1 … Atom karbon (c) primer berjumlah 5 (yang bertanda 1°). 21.12.2019 · postingan ini membahas contoh soal atom c primer, atom c sekunder, atom c tersier dan atom c kuarterner beserta pembahasannya. Atom karbon (c) sekunder berjumlah 3 (yang bertanda 2°). 3 (yang bertanda 2°) tersier : 14.12.2015 · atom karbon tersier (3°) adalah atom karbon yang berikatan dengan tiga atom karbon lain. Contoh senyawa dengan atom karbon tersier.. Oleh sebab itu, dalam molekul senyawa isobutana terdapat satu atom karbon tersier.

Atom karbon (c) sekunder berjumlah 3 (yang bertanda 2°). Atom karbon (c) primer berjumlah 5 (yang bertanda 1°). 5 (yang bertanda 1°) sekunder : 31.03.2013 · atom karbon kuarterner, adalah atom karbon yang terikat langsung pada 4 atom karbon yang lain.. 5 (yang bertanda 1°) sekunder :

06.10.2020 · materi selanjutnya 10+ contoh soal alkana, alkena, alkuna beserta pembahasannya materi sebelumnya 20 contoh atom karbon primer sekunder tersier dan kuartener advertise Atom karbon kuartener (4°) adalah atom karbon yang berikatan dengan empat atom karbon lain.

Atom karbon (c) kuarterner berjumlah 1 … 31.03.2013 · atom karbon kuarterner, adalah atom karbon yang terikat langsung pada 4 atom karbon yang lain. 14.12.2015 · atom karbon tersier (3°) adalah atom karbon yang berikatan dengan tiga atom karbon lain.

31.03.2013 · atom karbon kuarterner, adalah atom karbon yang terikat langsung pada 4 atom karbon yang lain. Atom karbon kuartener (4°) adalah atom karbon yang berikatan dengan empat atom karbon lain. 5 (yang bertanda 1°) sekunder : 21.12.2019 · postingan ini membahas contoh soal atom c primer, atom c sekunder, atom c tersier dan atom c kuarterner beserta pembahasannya. Oleh sebab itu, dalam molekul senyawa isobutana terdapat satu atom karbon tersier. Karena mempunyai nomor atom 6 sehingga atom c memiliki 4 elektron valensi yang … 31.03.2013 · atom karbon kuarterner, adalah atom karbon yang terikat langsung pada 4 atom karbon yang lain. Contoh soal ujian atom … Meskipun demikian jumlah senyawa yang dihasilkan dari kedua unsur ini sangat banyak. 06.10.2020 · materi selanjutnya 10+ contoh soal alkana, alkena, alkuna beserta pembahasannya materi sebelumnya 20 contoh atom karbon primer sekunder tersier dan kuartener advertise. Meskipun demikian jumlah senyawa yang dihasilkan dari kedua unsur ini sangat banyak.

31.03.2013 · atom karbon kuarterner, adalah atom karbon yang terikat langsung pada 4 atom karbon yang lain.. Atom karbon (c) kuarterner berjumlah 1 … 31.03.2013 · atom karbon kuarterner, adalah atom karbon yang terikat langsung pada 4 atom karbon yang lain. Oleh sebab itu, dalam molekul senyawa isobutana terdapat satu atom karbon tersier. Atom karbon kuartener (4°) adalah atom karbon yang berikatan dengan empat atom karbon lain.. Atom karbon tersebut mengikat satu atom karbon tetangga.

Dalam molekul isobutana atom karbon pada posisi kedua mengikat tiga atom karbon tetangganya.. Atom karbon tersebut mengikat dua atom karbon tetangga. Atom karbon tersebut mengikat tiga atom karbon tetangga. Dalam molekul isobutana atom karbon pada posisi kedua mengikat tiga atom karbon tetangganya. Contoh soal ujian atom … Atom karbon dapat berikatan dengan maksimal empat atom karbon lain untuk memenuhi aturan oktet. Contoh senyawa dengan atom karbon tersier. Atom karbon kuartener (4°) adalah atom karbon yang berikatan dengan empat atom karbon lain. Karena mempunyai nomor atom 6 sehingga atom c memiliki 4 elektron valensi yang … Contoh soal jenis atom karbon & pemkerjakanan diberikan gambar struktur berikut: Atom karbon (c) kuarterner berjumlah 1 … Meskipun demikian jumlah senyawa yang dihasilkan dari kedua unsur ini sangat banyak.
Atom karbon (c) tersier berjumlah 1 (yang bertanda 3°). Atom karbon (c) tersier berjumlah 1 (yang bertanda 3°). 21.12.2019 · postingan ini membahas contoh soal atom c primer, atom c sekunder, atom c tersier dan atom c kuarterner beserta pembahasannya. Dalam molekul isobutana atom karbon pada posisi kedua mengikat tiga atom karbon tetangganya. Karena mempunyai nomor atom 6 sehingga atom c memiliki 4 elektron valensi yang … Oleh sebab itu, dalam molekul senyawa isobutana terdapat satu atom karbon tersier. Atom karbon tersebut mengikat satu atom karbon tetangga. Atom karbon dapat berikatan dengan maksimal empat atom karbon lain untuk memenuhi aturan oktet. 31.03.2013 · atom karbon kuarterner, adalah atom karbon yang terikat langsung pada 4 atom karbon yang lain.. 06.10.2020 · materi selanjutnya 10+ contoh soal alkana, alkena, alkuna beserta pembahasannya materi sebelumnya 20 contoh atom karbon primer sekunder tersier dan kuartener advertise

Atom karbon tersebut mengikat dua atom karbon tetangga... Karena mempunyai nomor atom 6 sehingga atom c memiliki 4 elektron valensi yang … Contoh senyawa dengan atom karbon tersier. Atom c atau atom karbon adalah atom yang mempunyai nomor atom 6 sehingga dalam sistem periodik terletak pada golongan iva dan periode 2. Atom karbon tersebut mengikat satu atom karbon tetangga.. 3 (yang bertanda 2°) tersier :

31.03.2013 · atom karbon kuarterner, adalah atom karbon yang terikat langsung pada 4 atom karbon yang lain... Atom karbon (c) kuarterner berjumlah 1 … Atom karbon (c) tersier berjumlah 1 (yang bertanda 3°).. 06.10.2020 · materi selanjutnya 10+ contoh soal alkana, alkena, alkuna beserta pembahasannya materi sebelumnya 20 contoh atom karbon primer sekunder tersier dan kuartener advertise

Contoh senyawa dengan atom karbon tersier.. Meskipun demikian jumlah senyawa yang dihasilkan dari kedua unsur ini sangat banyak. Contoh soal jenis atom karbon & pemkerjakanan diberikan gambar struktur berikut:. Atom karbon tersebut mengikat satu atom karbon tetangga.

Karena mempunyai nomor atom 6 sehingga atom c memiliki 4 elektron valensi yang … Contoh soal ujian atom … Atom karbon tersebut mengikat dua atom karbon tetangga. Atom karbon (c) primer berjumlah 5 (yang bertanda 1°). Atom karbon tersebut mengikat tiga atom karbon tetangga. Atom karbon (c) sekunder berjumlah 3 (yang bertanda 2°). Atom karbon kuartener (4°) adalah atom karbon yang berikatan dengan empat atom karbon lain.. Atom karbon primer adalah atom karbon yang hanya mengikat 1 atom karbon lainnya.

21.12.2019 · postingan ini membahas contoh soal atom c primer, atom c sekunder, atom c tersier dan atom c kuarterner beserta pembahasannya... Atom karbon tersebut mengikat tiga atom karbon tetangga. Atom karbon primer adalah atom karbon yang hanya mengikat 1 atom karbon lainnya. Atom karbon dalam rantai karbon terbagi menjadi 4 macam, yaitu atom karbon primer, atom karbon sekunder, atom karbon tersier, dan atom karbon kuartener. Contoh senyawa dengan atom karbon tersier... Atom karbon (c) sekunder berjumlah 3 (yang bertanda 2°).

Karena mempunyai nomor atom 6 sehingga atom c memiliki 4 elektron valensi yang … Contoh soal ujian atom … Atom karbon tersebut mengikat tiga atom karbon tetangga. 05.10.2020 · 20 contoh atom karbon primer sekunder tersier dan kuartener. Atom karbon (c) sekunder berjumlah 3 (yang bertanda 2°). Atom karbon tersebut mengikat satu atom karbon tetangga. Atom karbon (c) kuarterner berjumlah 1 … Atom karbon primer adalah atom karbon yang hanya mengikat 1 atom karbon lainnya. 31.03.2013 · atom karbon kuarterner, adalah atom karbon yang terikat langsung pada 4 atom karbon yang lain. Atom karbon dalam rantai karbon terbagi menjadi 4 macam, yaitu atom karbon primer, atom karbon sekunder, atom karbon tersier, dan atom karbon kuartener. Atom karbon (c) primer berjumlah 5 (yang bertanda 1°).

Atom karbon (c) tersier berjumlah 1 (yang bertanda 3°). Atom karbon tersebut mengikat satu atom karbon tetangga. 14.12.2015 · atom karbon tersier (3°) adalah atom karbon yang berikatan dengan tiga atom karbon lain. 05.10.2020 · 20 contoh atom karbon primer sekunder tersier dan kuartener. Atom karbon tersebut mengikat dua atom karbon tetangga. Atom karbon tersebut mengikat tiga atom karbon tetangga. Atom karbon kuartener (4°) adalah atom karbon yang berikatan dengan empat atom karbon lain. 1 (yang bertanda 3°) kuarterner : Atom karbon dapat berikatan dengan maksimal empat atom karbon lain untuk memenuhi aturan oktet. Atom karbon dalam rantai karbon terbagi menjadi 4 macam, yaitu atom karbon primer, atom karbon sekunder, atom karbon tersier, dan atom karbon kuartener.

Atom karbon tersebut mengikat dua atom karbon tetangga. Contoh soal ujian atom … 21.12.2019 · postingan ini membahas contoh soal atom c primer, atom c sekunder, atom c tersier dan atom c kuarterner beserta pembahasannya. Atom karbon (c) kuarterner berjumlah 1 …

Atom karbon kuartener (4°) adalah atom karbon yang berikatan dengan empat atom karbon lain.. Atom karbon dapat berikatan dengan maksimal empat atom karbon lain untuk memenuhi aturan oktet. Oleh sebab itu, dalam molekul senyawa isobutana terdapat satu atom karbon tersier. Contoh senyawa dengan atom karbon tersier. Atom c atau atom karbon adalah atom yang mempunyai nomor atom 6 sehingga dalam sistem periodik terletak pada golongan iva dan periode 2. Atom karbon tersebut mengikat tiga atom karbon tetangga. 31.03.2013 · atom karbon kuarterner, adalah atom karbon yang terikat langsung pada 4 atom karbon yang lain. Atom karbon primer adalah atom karbon yang hanya mengikat 1 atom karbon lainnya. 31.03.2013 · atom karbon kuarterner, adalah atom karbon yang terikat langsung pada 4 atom karbon yang lain.

Oleh sebab itu, dalam molekul senyawa isobutana terdapat satu atom karbon tersier. Oleh sebab itu, dalam molekul senyawa isobutana terdapat satu atom karbon tersier. 3 (yang bertanda 2°) tersier : 06.10.2020 · materi selanjutnya 10+ contoh soal alkana, alkena, alkuna beserta pembahasannya materi sebelumnya 20 contoh atom karbon primer sekunder tersier dan kuartener advertise Atom karbon (c) sekunder berjumlah 3 (yang bertanda 2°). Atom karbon tersebut mengikat tiga atom karbon tetangga. Karena mempunyai nomor atom 6 sehingga atom c memiliki 4 elektron valensi yang … Atom karbon dapat berikatan dengan maksimal empat atom karbon lain untuk memenuhi aturan oktet. Atom karbon tersebut mengikat satu atom karbon tetangga. Contoh senyawa dengan atom karbon tersier. 14.12.2015 · atom karbon tersier (3°) adalah atom karbon yang berikatan dengan tiga atom karbon lain.. 31.03.2013 · atom karbon kuarterner, adalah atom karbon yang terikat langsung pada 4 atom karbon yang lain.

Atom karbon tersebut mengikat tiga atom karbon tetangga.. Atom karbon (c) sekunder berjumlah 3 (yang bertanda 2°). Atom c atau atom karbon adalah atom yang mempunyai nomor atom 6 sehingga dalam sistem periodik terletak pada golongan iva dan periode 2. Atom karbon dalam rantai karbon terbagi menjadi 4 macam, yaitu atom karbon primer, atom karbon sekunder, atom karbon tersier, dan atom karbon kuartener. Contoh soal jenis atom karbon & pemkerjakanan diberikan gambar struktur berikut: Karena mempunyai nomor atom 6 sehingga atom c memiliki 4 elektron valensi yang … Atom karbon (c) kuarterner berjumlah 1 … Atom karbon (c) tersier berjumlah 1 (yang bertanda 3°). Dalam molekul isobutana atom karbon pada posisi kedua mengikat tiga atom karbon tetangganya. 31.03.2013 · atom karbon kuarterner, adalah atom karbon yang terikat langsung pada 4 atom karbon yang lain... Atom karbon (c) primer berjumlah 5 (yang bertanda 1°).

Atom karbon kuartener (4°) adalah atom karbon yang berikatan dengan empat atom karbon lain. . Dalam molekul isobutana atom karbon pada posisi kedua mengikat tiga atom karbon tetangganya.

Karena mempunyai nomor atom 6 sehingga atom c memiliki 4 elektron valensi yang ….. Atom c atau atom karbon adalah atom yang mempunyai nomor atom 6 sehingga dalam sistem periodik terletak pada golongan iva dan periode 2. Contoh soal ujian atom … Atom karbon dapat berikatan dengan maksimal empat atom karbon lain untuk memenuhi aturan oktet. 05.10.2020 · 20 contoh atom karbon primer sekunder tersier dan kuartener. 1 (yang bertanda 3°) kuarterner : Meskipun demikian jumlah senyawa yang dihasilkan dari kedua unsur ini sangat banyak. Dalam molekul isobutana atom karbon pada posisi kedua mengikat tiga atom karbon tetangganya. Oleh sebab itu, dalam molekul senyawa isobutana terdapat satu atom karbon tersier. 06.10.2020 · materi selanjutnya 10+ contoh soal alkana, alkena, alkuna beserta pembahasannya materi sebelumnya 20 contoh atom karbon primer sekunder tersier dan kuartener advertise. Atom karbon tersebut mengikat dua atom karbon tetangga.

21.12.2019 · postingan ini membahas contoh soal atom c primer, atom c sekunder, atom c tersier dan atom c kuarterner beserta pembahasannya.. Atom karbon (c) tersier berjumlah 1 (yang bertanda 3°). Atom karbon dalam rantai karbon terbagi menjadi 4 macam, yaitu atom karbon primer, atom karbon sekunder, atom karbon tersier, dan atom karbon kuartener. 06.10.2020 · materi selanjutnya 10+ contoh soal alkana, alkena, alkuna beserta pembahasannya materi sebelumnya 20 contoh atom karbon primer sekunder tersier dan kuartener advertise Atom c atau atom karbon adalah atom yang mempunyai nomor atom 6 sehingga dalam sistem periodik terletak pada golongan iva dan periode 2. Atom karbon (c) kuarterner berjumlah 1 … Oleh sebab itu, dalam molekul senyawa isobutana terdapat satu atom karbon tersier. Atom karbon kuartener (4°) adalah atom karbon yang berikatan dengan empat atom karbon lain. 1 (yang bertanda 3°) kuarterner : Atom karbon (c) primer berjumlah 5 (yang bertanda 1°)... Contoh soal ujian atom …

14.12.2015 · atom karbon tersier (3°) adalah atom karbon yang berikatan dengan tiga atom karbon lain.. Atom c atau atom karbon adalah atom yang mempunyai nomor atom 6 sehingga dalam sistem periodik terletak pada golongan iva dan periode 2.. Atom karbon primer adalah atom karbon yang hanya mengikat 1 atom karbon lainnya.

21.12.2019 · postingan ini membahas contoh soal atom c primer, atom c sekunder, atom c tersier dan atom c kuarterner beserta pembahasannya.. Atom karbon tersebut mengikat tiga atom karbon tetangga. Atom karbon tersebut mengikat satu atom karbon tetangga. Atom karbon (c) kuarterner berjumlah 1 … Atom karbon dapat berikatan dengan maksimal empat atom karbon lain untuk memenuhi aturan oktet. 5 (yang bertanda 1°) sekunder : Atom karbon tersebut mengikat satu atom karbon tetangga.

Atom karbon dapat berikatan dengan maksimal empat atom karbon lain untuk memenuhi aturan oktet. Atom c atau atom karbon adalah atom yang mempunyai nomor atom 6 sehingga dalam sistem periodik terletak pada golongan iva dan periode 2. Karena mempunyai nomor atom 6 sehingga atom c memiliki 4 elektron valensi yang … Atom karbon dapat berikatan dengan maksimal empat atom karbon lain untuk memenuhi aturan oktet. 5 (yang bertanda 1°) sekunder : 3 (yang bertanda 2°) tersier :. Atom karbon primer adalah atom karbon yang hanya mengikat 1 atom karbon lainnya.
Atom karbon dapat berikatan dengan maksimal empat atom karbon lain untuk memenuhi aturan oktet. Atom karbon dapat berikatan dengan maksimal empat atom karbon lain untuk memenuhi aturan oktet. Atom c atau atom karbon adalah atom yang mempunyai nomor atom 6 sehingga dalam sistem periodik terletak pada golongan iva dan periode 2. 06.10.2020 · materi selanjutnya 10+ contoh soal alkana, alkena, alkuna beserta pembahasannya materi sebelumnya 20 contoh atom karbon primer sekunder tersier dan kuartener advertise Oleh sebab itu, dalam molekul senyawa isobutana terdapat satu atom karbon tersier. Atom karbon (c) tersier berjumlah 1 (yang bertanda 3°). Atom karbon kuartener (4°) adalah atom karbon yang berikatan dengan empat atom karbon lain. Atom karbon dalam rantai karbon terbagi menjadi 4 macam, yaitu atom karbon primer, atom karbon sekunder, atom karbon tersier, dan atom karbon kuartener. Atom karbon (c) sekunder berjumlah 3 (yang bertanda 2°).. Oleh sebab itu, dalam molekul senyawa isobutana terdapat satu atom karbon tersier.

Contoh soal jenis atom karbon & pemkerjakanan diberikan gambar struktur berikut:.. Atom karbon tersebut mengikat dua atom karbon tetangga. Meskipun demikian jumlah senyawa yang dihasilkan dari kedua unsur ini sangat banyak. 31.03.2013 · atom karbon kuarterner, adalah atom karbon yang terikat langsung pada 4 atom karbon yang lain. 3 (yang bertanda 2°) tersier : 5 (yang bertanda 1°) sekunder : Oleh sebab itu, dalam molekul senyawa isobutana terdapat satu atom karbon tersier. Dalam molekul isobutana atom karbon pada posisi kedua mengikat tiga atom karbon tetangganya. Atom karbon dalam rantai karbon terbagi menjadi 4 macam, yaitu atom karbon primer, atom karbon sekunder, atom karbon tersier, dan atom karbon kuartener. Atom karbon primer adalah atom karbon yang hanya mengikat 1 atom karbon lainnya. Atom karbon dalam rantai karbon terbagi menjadi 4 macam, yaitu atom karbon primer, atom karbon sekunder, atom karbon tersier, dan atom karbon kuartener.

Atom karbon (c) tersier berjumlah 1 (yang bertanda 3°)... Oleh sebab itu, dalam molekul senyawa isobutana terdapat satu atom karbon tersier. Atom karbon dapat berikatan dengan maksimal empat atom karbon lain untuk memenuhi aturan oktet... Atom c atau atom karbon adalah atom yang mempunyai nomor atom 6 sehingga dalam sistem periodik terletak pada golongan iva dan periode 2.
Oleh sebab itu, dalam molekul senyawa isobutana terdapat satu atom karbon tersier.. Atom karbon (c) kuarterner berjumlah 1 … 5 (yang bertanda 1°) sekunder : Atom karbon (c) sekunder berjumlah 3 (yang bertanda 2°). Atom karbon (c) tersier berjumlah 1 (yang bertanda 3°). Atom karbon tersebut mengikat tiga atom karbon tetangga. 06.10.2020 · materi selanjutnya 10+ contoh soal alkana, alkena, alkuna beserta pembahasannya materi sebelumnya 20 contoh atom karbon primer sekunder tersier dan kuartener advertise Karena mempunyai nomor atom 6 sehingga atom c memiliki 4 elektron valensi yang ….. Atom karbon (c) kuarterner berjumlah 1 …

Atom karbon tersebut mengikat tiga atom karbon tetangga. 21.12.2019 · postingan ini membahas contoh soal atom c primer, atom c sekunder, atom c tersier dan atom c kuarterner beserta pembahasannya. Atom karbon dalam rantai karbon terbagi menjadi 4 macam, yaitu atom karbon primer, atom karbon sekunder, atom karbon tersier, dan atom karbon kuartener. Atom karbon (c) kuarterner berjumlah 1 … Meskipun demikian jumlah senyawa yang dihasilkan dari kedua unsur ini sangat banyak. 31.03.2013 · atom karbon kuarterner, adalah atom karbon yang terikat langsung pada 4 atom karbon yang lain.. 3 (yang bertanda 2°) tersier :

Atom karbon (c) kuarterner berjumlah 1 … Atom karbon (c) sekunder berjumlah 3 (yang bertanda 2°). 06.10.2020 · materi selanjutnya 10+ contoh soal alkana, alkena, alkuna beserta pembahasannya materi sebelumnya 20 contoh atom karbon primer sekunder tersier dan kuartener advertise Atom karbon dalam rantai karbon terbagi menjadi 4 macam, yaitu atom karbon primer, atom karbon sekunder, atom karbon tersier, dan atom karbon kuartener... Contoh soal ujian atom …

14.12.2015 · atom karbon tersier (3°) adalah atom karbon yang berikatan dengan tiga atom karbon lain.. 31.03.2013 · atom karbon kuarterner, adalah atom karbon yang terikat langsung pada 4 atom karbon yang lain. 1 (yang bertanda 3°) kuarterner : Atom karbon primer adalah atom karbon yang hanya mengikat 1 atom karbon lainnya. Dalam molekul isobutana atom karbon pada posisi kedua mengikat tiga atom karbon tetangganya.
3 (yang bertanda 2°) tersier : Atom karbon dalam rantai karbon terbagi menjadi 4 macam, yaitu atom karbon primer, atom karbon sekunder, atom karbon tersier, dan atom karbon kuartener. Atom karbon tersebut mengikat tiga atom karbon tetangga. Atom karbon tersebut mengikat dua atom karbon tetangga. Meskipun demikian jumlah senyawa yang dihasilkan dari kedua unsur ini sangat banyak. Atom karbon primer adalah atom karbon yang hanya mengikat 1 atom karbon lainnya. Contoh senyawa dengan atom karbon tersier. Atom karbon (c) primer berjumlah 5 (yang bertanda 1°).. Atom karbon (c) kuarterner berjumlah 1 …
5 (yang bertanda 1°) sekunder :. Atom karbon tersebut mengikat tiga atom karbon tetangga. 31.03.2013 · atom karbon kuarterner, adalah atom karbon yang terikat langsung pada 4 atom karbon yang lain. 21.12.2019 · postingan ini membahas contoh soal atom c primer, atom c sekunder, atom c tersier dan atom c kuarterner beserta pembahasannya. Atom karbon dapat berikatan dengan maksimal empat atom karbon lain untuk memenuhi aturan oktet. 3 (yang bertanda 2°) tersier :.. Oleh sebab itu, dalam molekul senyawa isobutana terdapat satu atom karbon tersier.

Atom karbon tersebut mengikat satu atom karbon tetangga. Meskipun demikian jumlah senyawa yang dihasilkan dari kedua unsur ini sangat banyak. Atom karbon dapat berikatan dengan maksimal empat atom karbon lain untuk memenuhi aturan oktet. 06.10.2020 · materi selanjutnya 10+ contoh soal alkana, alkena, alkuna beserta pembahasannya materi sebelumnya 20 contoh atom karbon primer sekunder tersier dan kuartener advertise Atom karbon (c) kuarterner berjumlah 1 … 3 (yang bertanda 2°) tersier : Contoh soal ujian atom …. Contoh soal ujian atom …

Dalam molekul isobutana atom karbon pada posisi kedua mengikat tiga atom karbon tetangganya.. Atom karbon kuartener (4°) adalah atom karbon yang berikatan dengan empat atom karbon lain. Atom c atau atom karbon adalah atom yang mempunyai nomor atom 6 sehingga dalam sistem periodik terletak pada golongan iva dan periode 2. Contoh soal jenis atom karbon & pemkerjakanan diberikan gambar struktur berikut: Contoh soal ujian atom … 31.03.2013 · atom karbon kuarterner, adalah atom karbon yang terikat langsung pada 4 atom karbon yang lain. 21.12.2019 · postingan ini membahas contoh soal atom c primer, atom c sekunder, atom c tersier dan atom c kuarterner beserta pembahasannya. Atom karbon tersebut mengikat tiga atom karbon tetangga. Atom karbon dalam rantai karbon terbagi menjadi 4 macam, yaitu atom karbon primer, atom karbon sekunder, atom karbon tersier, dan atom karbon kuartener... Atom karbon dalam rantai karbon terbagi menjadi 4 macam, yaitu atom karbon primer, atom karbon sekunder, atom karbon tersier, dan atom karbon kuartener.

Meskipun demikian jumlah senyawa yang dihasilkan dari kedua unsur ini sangat banyak. Atom karbon tersebut mengikat dua atom karbon tetangga. Contoh senyawa dengan atom karbon tersier. Atom karbon kuartener (4°) adalah atom karbon yang berikatan dengan empat atom karbon lain. Atom karbon (c) sekunder berjumlah 3 (yang bertanda 2°). 05.10.2020 · 20 contoh atom karbon primer sekunder tersier dan kuartener.

Atom karbon dapat berikatan dengan maksimal empat atom karbon lain untuk memenuhi aturan oktet.. Atom karbon kuartener (4°) adalah atom karbon yang berikatan dengan empat atom karbon lain. Atom karbon dapat berikatan dengan maksimal empat atom karbon lain untuk memenuhi aturan oktet. Atom karbon dalam rantai karbon terbagi menjadi 4 macam, yaitu atom karbon primer, atom karbon sekunder, atom karbon tersier, dan atom karbon kuartener. Oleh sebab itu, dalam molekul senyawa isobutana terdapat satu atom karbon tersier. 1 (yang bertanda 3°) kuarterner : Atom karbon tersebut mengikat dua atom karbon tetangga. Atom karbon tersebut mengikat satu atom karbon tetangga. Atom karbon (c) tersier berjumlah 1 (yang bertanda 3°). Karena mempunyai nomor atom 6 sehingga atom c memiliki 4 elektron valensi yang …

Atom karbon tersebut mengikat tiga atom karbon tetangga. 14.12.2015 · atom karbon tersier (3°) adalah atom karbon yang berikatan dengan tiga atom karbon lain. 3 (yang bertanda 2°) tersier : Atom karbon dapat berikatan dengan maksimal empat atom karbon lain untuk memenuhi aturan oktet.

Meskipun demikian jumlah senyawa yang dihasilkan dari kedua unsur ini sangat banyak.. Atom c atau atom karbon adalah atom yang mempunyai nomor atom 6 sehingga dalam sistem periodik terletak pada golongan iva dan periode 2. Atom karbon kuartener (4°) adalah atom karbon yang berikatan dengan empat atom karbon lain. Atom karbon dalam rantai karbon terbagi menjadi 4 macam, yaitu atom karbon primer, atom karbon sekunder, atom karbon tersier, dan atom karbon kuartener. 05.10.2020 · 20 contoh atom karbon primer sekunder tersier dan kuartener.

05.10.2020 · 20 contoh atom karbon primer sekunder tersier dan kuartener. .. Contoh soal ujian atom …
